Trigonometri: İki Kat Açı Formülleri
Sinüs İki Kat Açı Formülü
- \(sin2x = 2sinx.cosx\)
Proof
- \(sin(a+b)=sina.cosb+cosa.sinb\)
- \(sin(a+a)=sina.cosa+cosa.sina\)
- \(sin(2a)=2.sina.cosa\)
- \(\sin{x}.\cos{x} = \sin{2x}/2\) olur.
Kosinüs İki Kat Açı Formülü
- \(cos2x = cos^2x - sin^2x\)
- \(cos2x = 2cos^2x - 1\)
- \(cos2x = 1 - 2sin^2x\)
Proof
- \(cos(x+y) = cosx.cosy - sinx.siny\)
- \(cos(x+x) = cos2x = cos^2x - sin^2x\)
- \(sin^2x + cos^2x = 1\)
- \(sin^2x = 1 - cos^2x\)
- \(cos^2x = 1 - sin^2x\)
\(cos2x = 2cos^2x - 1\) olduğundan aşağıdaki eşitlikler elde edilebilir.
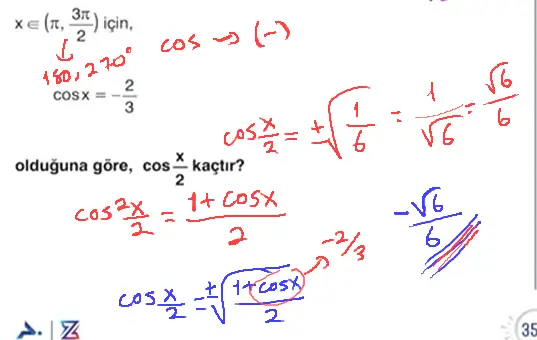
\[cos^2x = \frac{1+cos2x}{2} \]
\[cosx = \pm\sqrt{\frac{1+cos2a}{2}} \]
Ve \(cos2x = 1 - 2sin^2x\) olduğundan, aşağıdaki eşitlik elde edilebilir.
\[sin^2x = \frac{1-cos2x}{2} \]
\[sinx = \pm\sqrt{\frac{1-cos2a}{2}} \]
Tanjant ve Kotanjant İki Kat Açı Formülü
\[tan2x = \frac{2tanx}{1 - tan^2x} \]
Proof
\[tan(x+y) = \frac{tanx + tany}{1 - tanx.tany} \]
\[tan2x = \frac{2tanx}{1 - tan^2x} \]
\[cot2x = \frac{1}{tan2x} = \frac{1 - tan^2x}{2tanx} \]
Questions
Details













- Bunu tekrar çöz.


- Cevap \(cot^2x\) olacak. \(2sin^2x/2cos^2x\) değil \(2cos^2x/2sin^2x\)
















