Modern Atom Teorisi-2

Nötr Atomların Elektron Dizilimleri ve Periyodik Sistemdeki Yerleri

Atomdaki her enerji düzeyinin alabileceği elektron sayısı farklıdır. 5. enerji düzeyine kadar her enerji düzeyimdeki maksimum elektron sayısı, n baş kuantum sayısı olmak üzere \(2n^2\) formülü ile bulunur.

Katman Baş Kuantum Sayısı (n) Elektron Sayısı (\(2n^2\)) Orbitaller
1 (K) 1 \(2(1)^2=2\) s
2 (L) 2 \(2(2)^2=8\) s,p
3 (M) 3 \(2(3)^2=18\) s,p,d
4 (N) 4 \(2(4)^2=32\) s,p,d,f

Aufbau Kuralı

Atomun temel halinde, elektronların en düşük enerjiye sahip orbitalden başlayarak sıra ile en yüksek enerjili orbitale doğru doldurulması gerektiğini belirten kuraldır.

Orbital enerjileri \(n+l\) değerlerinin arması ile artar. (baş kuantum sayısı + açısal momentum kuantum sayısı)

Aşağıdaki tabloda ok yönü takip edildiğinde orbitallerin enerji sıralaması aşağıdaki şekildedir.

SST6NAX2.webp

\[1s < 2s < 2p < 3s < 3p < 4s < 3d < 4p < 5s < 4d < 5p < 6s < ... \]

Orbitaldeki elektron sayısı arttıkça orbitalin enerjisi artar.

SST6NAR5.webp

Hund Kuralı

Elektronlar, eş enerjili orbitallere, önce boş orbitallere aynı spinli olacak şekilde birer birer yerleştirilir. Daha sonra elektron sayısı, elektronlar zıt spinli olacak şekilde ikiye tamamlanır.

SST6NB2C.webp

SST6NB1D.webp

Pauli İlkesi

Pauli ilkesi, bir atomda bulunan iki elektronun 4 kuantum sayısının da aynı olamayacağını belirtir.

Bu ilkeye göre, herhangi iki elektronun \(n,l,m_l\) değerleri aynı olsa bile \(m_s\) değerleri farklı olmalıdır.

SST6NB5E.webp

Bir orbitalde iki aynı spin değeri olan elektron bulunamaz.

Çok Elektronlu Atomların Elektron Dizilimi

Nötr bir atomun elektron dizilimi elektron veya proton sayısına göre yapılabilir.

Elektron dizilimi temel olarak baş kuantum sayısı, orbitalin türü ve orbitaldeki elektron sayısı belirtilerek yazılır.

\[3s^1 \]


Örneğin \({}_20Ca\) elementinin elektron dizilimini ve orbital şeması göstermini aşağıdaki şekildedir.

\[1s^2, 2s^2, 2p^6, 3s^2 3p^6, 4s^2 \]

Elektron dizilimi soy gazlara bağlı olarak daha kısa şekilde yazılabilir \(({}_2He, {}_{10}Ne, {}_{18}Ar, {}_{36}Xe, {}_{86}Rn)\)

Örneğin; Ca için:

\[[{}_{18}Ar], 4s^2 \]

Şeklindedir. \(({}_{18}Ar: 1s^2, 2s^2, 2p^6, 3s^2, 3p^6)\)

İyonların Elektron Dağılımı

Nötr atomlar elektron vererek katyona, elektron alarak anyona dönüşürler. Katyon veya anyon halindeki iyonların elektron dizilimleri elektron sayılarına göre yapılır.

Örneğin; \({}_{11}Na\) atomunun elektron dizilimi;

\[{}_{11}Na: 1s^2, 2s^2, 2p^6, 3s^1 \]

Şeklindedir.

Na elementi 1 elektron verip katyon oluştururken 10 elektronu kalır ve bu durumdaki elektron dizilimi:

\[{}_{11}Na^+: 1s^2, 2s^2, 2p^6 \]

Şeklinde olur.

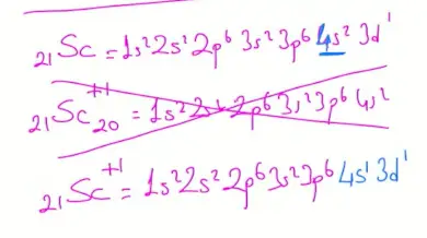
Katyon ve anyon oluşumu sırasında öncelikle en son katmandaki enerjisi en yüksek olan orbitaldeki elektronlar alınır veya verilir. Çünkü en yüksek enerji düzeyindeki elektronlar çekirdek tarafından en zayıf çekilen elektronlardır. (en dış katman, baş kuantum sayısı en yüksek olan katmandır. Dizilimdeki en son eleman değildir.)

SST6OWE3.webp

SST6OWKB.webp

SST6OWM9.webp

SST6OWOZ.webp

Kolaylık olması açısından önce nötr halini yazıp sonra yüküne göre elektron kopartma işlemine geçebilirsin.

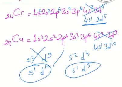
Elektronlar \(s^2,d^4\) yerine \(s^1,d^5\); \(s^2,d^9\) yerine \(s^1,d^10\) şeklinde dizilir.
SST6OWUF.webp

Değerlik Elektronları, Değerlik Orbitalleri

Atomun en yüksek enerji düzeyindeki orbitallerine değerlik orbitalleri, değerlik orbitallerdeki elektronlara değerlik elektronları denir.

Elektron dağılımındaki son orbital Değerlik orbitali Değerlik elektron sayısı
\(s^a\) \(s\) \(a\)
\(p^n\) \(s^2\) ve \(p^n\) 2+n
\(d^n\) \(s^a\) ve \(d^n\) a+n

\[{}_8O: 1s^2, 2s^2, 2p^4 \]

\[{}_{21}Sc: [{}_{18}Ar] 4s^2 3d^1 \]

Elektron Diziliminde İstisnalar (Küresel Simetri Durumu)

Bir atomun elektron dizilimindeki son orbital türü tam dolu veya yarı dolu ise atom küresel simetri özelliği gösterir.

Atomlarının son orbitalleri \(s^1,s^2,p^3,d^10\) olduğundan küresel simetrik yapıya sahiptirler.

Elektron diziliminin küresel simetrik olması atoma kararlılık kazandırır. Bu nedenle, elektron dağılımı \(s^2,d^4\) veya \(s^2,d^9\) ile biten bazı geçiş elementleri kararlı yapıya ulaşmak için elektron dağılımlarını küresel simetriye uydururlar. Bu durum temel haldir.

\[{}_{24}Cr: 1s^2,2s^2,2p^6,3s^2,3p^6,4s^1,3d^5 \text{ (4s2 3d4 olması gerekirken)} \]

\[{}_{29}Cu: 1s^2,2s^2,2p^6,3s^2,3p^6,4s^1,3d^{10} \text{ (4s2 3d9 olması gerekirken)} \]

Küresel simetriye benzeyen B grubu elementlerinin dışında elektronların dışından enerji alarak yüksek enerjili orbitale geçişlerine uyarılma denir. Uyarılmış atomlar kararsız yapıya sahiptirler.

\[{}_6C: 1s^2,2s^2,2p^2 \text{ (Temel haldeki atom)} \]

\[{}_6C: 1s^2,2s^1,2p^3 \text{ (Uyarılmış haldeki atom)} \]

Her iki durumda da \({}_6C\) elementinin çekirdek yapısı, kimyasal özelliği aynıdır. Ancak uyarılmış C atomu daha yüksek enerjilidir.

Her ne kadar örnekteki karbonun uyarılmış yapısı küresel simetriye benzese ve temel hali bu olması gerekiyormuş gibi gözükse de öyle değildir.

  • s ve d orbitalleri arasındaki enerji farkı az olduğu için elektronlar iki orbital arasında daha rahat geçiş yapıp kendilerini küresel simetriye uydurabilirken,
  • s ve p orbitalleri arasındaki enerji farkı daha yüksek olduğu için böyle bir geçiş normal şartlarda olmaz.

Elektron dizilimleri yardımıyla periyodik sistemde yer bulma

Elementler periyodik sisteme proton sayılarına (atom numaralarına) göre yerleştirildiklerinden dolayı atom numarası bilinen bir elementin periyodik sistemdeki yeri bulunabilir.

Elementlerin temel haldeki elektron dizilimleri yazıldığında;

Elektron dizilimindeki en son orbital s ise element s blokta, p ise p blokta, d ise d blokta, f ise f blokta bulunur.

Elementin son orbitali;

Eğer son orbital \(d^n\) ile bitiyorsa, ondan önce mutlaka bir \(s^a\) orbitali vardır.

  • a+n: 8,9 veya 10 ise element 8B grubunda bulunur.
  • a+n > 10 ise element (a+b-10)B grubunda bulunur.
  • a+n < 8 ise element (a+n)B grubunda bulunur.

Helyum bir istisnadır ve 8A grubunda bulunur.

SST6OZU2.webp

SST6OZZQ.webp

IUPAC'a göre gruplar, periyodik sistemin en solundan 1 den başlayarak 18'e kadar sadece numaralarla belirtilir.

Periyodik tabloda yer proton sayısına göre bulunur, elektron değil!

Questions

SST6OVKY.webp


SST6OVOC.webp


SST6OVRB.webp


SST6OX2I.webp


SST6OXU4.webp


SST6OZ5X.webp


SST6OZ7O.webp


SST6OZ8N.webp


SST6OZBL.webp


SST6P3C5.webp


SST6P3FW.webp


SST6P3KF.webp


SST6P84F.webp


SST6P86H.webp


SST6P8AV.webp


SST6PHXU.webp


SST6PI4A.webp


SST6PI67.webp


SST6PI9O.webp


SST6PIH4.webp


SST6PIIN.webp


SST6PJKG.webp


SST6PJO2.webp


SST6PJQP.webp


SST6PJU5.webp