Kimyasal denge bağıntısı nasıl yazılır

Fiziksel ve Kimyasal Denge

SST88EJY.webp

Fiziksel ve kimyasal olaylarda zıt yönlü gerçekleşebilen olayların her iki yöndeki hızlarının eşit olması durumu dinamik denge olarak tanımlanmaktadır.

Kimyasal tepkimelerde de aynı şekilde bir dinamik denge oluşabilmesi için tepkimenin çift yönlü gerçekleşebiliyor olması gereklidir.

Birçok tepkimede tam verim olmaz. Yani ortamda daha tepkimeye girebilecek reaktifler olmasına rağmen tepkimedeki ürün miktarı değişmez. Bu tür tepkiemelere tersinir (çift yönlü olaylar) tepkimeler denir. Bu reaksiyonlar çift yönlü ok "\(\ce{<=>}\)" sembolü ile gösterilir. Bu şekilde kapalı bir kapta sabit sıcaklıkta gerçekleşen çift yönlü reaksiyonlara kimyasal denge reaksiyonu denir.

Kimyasal denge durumunda ileri ve geri tepkime hızları eşit olduğundan sistemdeki madde miktarında bir değişim olmaz. Bu durum dinamik denge olarak tanımlanır.

Kimyasal tepkimelerde denge varsa denge anında derişimler sabitlenmektedir.

Tepkimelerde Tersinirlik

Bir tepkimenin tersinir (çift yönlü) olup olmadığının anlaşılabilmesi için,

Faktörlerinin karşılaştırılması gereklidir.

Maksimum düzensizlik ve minimum enerji eğilimi zıt yönlere doğru olan tepkimeler çift yönlü gerçekleşebilen tepkimelerdir. Bu eğilimler aynı yöne doğru olan tepkimeler genellikle tek yönlüdür.

Maksimum Düzensizlik Eğilimi

Entropi artış isteği veya daha düzensiz duruma geçme isteği olarak da düşünülebilir.

Belirlenmesinde maddelerin fiziksel halleri ve mol sayıları önemlidir.


Gazlar sıvılara göre ve sıvılar katılara göre daha düzensizdir.

Mol sayısı fazla olan gaz, az olan gaza göre daha düzensizdir.

Bir katı bir sıvıda çözünürse düzensizliği artar. Bir gaz bir sıvıda çözünürse düzensizliği azalır.

Atomlar, tek cins atomdan oluşan moleküllere göre daha düzensiz, bu moleküller de bileşiklere göre daha düzensizdir. (Yani en düzenlileri bileşik molekülü, sonra element molekülleri, sonra atomlardır)

Minimum Enerji Eğilimi

SST88JC0.webp

Minimum enerjiye geçme isteği veya daha düşük enerjili olma isteği olarak düşünülebilir.

Belirlenmesinde tepkimenin entalpi değişimi önemlidir.



\(\ce{N2(g) + 3H2(g) <=> 2NH3(g) + 92kJ}\) denklemine göre; maksimum düzensizlik girenlere doğru eğilimli ve minimum enerji ürünlere doğru eğilimlidir.

\(\ce{C2H6(g) <=> C2H4(g) + H2(g)},\quad\Delta H > 0\) denklemine göre; maksimum düzensizlik ürünlere doğru eğilimli ve minimum enerji girenlere doğru eğilimlidir.

Yukarıdaki tepkimelerin her ikisi de tersinirdir ve kapalı kapta bir denge oluştururlar.

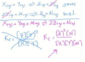
Denge Sabiti

SST88JJO.webp

Şekil-5432'de \(\ce{N2 + 3H2 <=> 2NH3}\) kimyasal denklemi için geçen zamana bağlı olarak maddelerin mol değişimi verilmiştir.

Başlangıçta 10 mol \(N_2\) ve 40 mol \(H_2\) gazları varken tepkime süresince bu değerler tepkimedeki katsayılar ile orantılı olarak azalmış ve belirli zamanlardaki ortamda bulunan reaktif ve ürün miktarları tabloya yazılmıştır. Tablodaki değişime göre 15.dk da tepkime derişimleri sabitlenmiştir.

SST88JQ4.webp

Tepkime dengeye ulaştığında madde miktarları sabit kalır. Denge anında ileri hız ile geri hız birbirine eşittir.

Dengede hiçbir şeyin derişimi sıfırlanmaz. Eğer grafikte bir ürünün veya girenin derişiminin sıfıra ulaştığı görülüyorsa, bu kimyasal tepkime dengede değildir.

SST88LBP.webp

\(\ce{N2(g) + 3H2(g) <=> 2NH3(g)}\) tepkimesine göre ileri ve geri reaksiyon hız ifadelerini yazalım.

Denge anında hızları birbirine eşit olacağından,

İleri ve geri hız sabitlerinin oranı yeni bir sabit olarak denge sabitine \((K_c)\) eşittir.

\[K_{c}=\frac{k_{ileri}}{k_{geri}} = \frac{[NH_3]^2}{[N_2].[H_2]^3} = \frac{\text{Ürünler}}{\text{Girenler}} \]

Sabit sıcaklıktaki \(k_{ileri}/k_{geri}\) nin değeri de sabittir. Bu sabit değer derişimler türünden denge sabiti olarak adlandırılır ve \(K_c\) ile gösterilir.

\[\ce{2CO(g) + O2(g) <=> 2CO2(g)},\quad K_c=\frac{[CO_2]^2}{[CO]^2.[O_2]} \]

\[\ce{NO(g) + Cl2(g) <=> NOCl2(g)},\quad K_c=\frac{[NOCl_2]^2}{[NO].[Cl_2]} \]

\[\ce{Pb^{2+}(aq) + 2Fe^{3+}(aq) (g) <=> Pb^{4+}(aq) + 2Fe^{2+}(aq)},\quad K_c=\frac{[Pb^{+4}].[Fe^{2+}]^2}{[Pb^{2+}].[Fe^{3+}]^2} \]

\[\ce{CaO(k) + CO2(g) <=> CaCO_3(k)},\quad K_c=\frac{1}{[CO_2].1} \]


Kısmi Basınçlar Türünden Denge Sabiti (Kp)

Gaz fasında gerçekleşen denge tepkimelerinde molar derişimler ile kısmi basınçlar doğru orantılıdır.

Denge bağıntısı maddelerin kısmi basınç değerleri kullanılarak yazılabilir. Buna kısmi basınçlar türünden denge sabiti denir ve \(k_p\) ile gösterilir.

\(\ce{N2(g) + 3H2(g) <=> 2NH3(g)}\) için \(K_c\) ve \(K_p\) bağıntıları aşağıdaki gibidir.

\[K_c = \frac{[NH_3]^2}{[N_2].[H_2]^3} \]

\[K_p = \frac{(P_{NH3})^2}{(P_{N2}).(P_{H2})^3} \]

Kp ile Kc Ilişkisi

İdeal gaz denkleminden yola çıkarak kısmi basınç yerine bulunan değerler denklemde kullanılırsa \(K_p\) ile \(K_c\) arasında bir bağıntı oluşturulur.

Yukarıdaki tepkimede gazlar için,

\[K_P = \frac{(P_Z)^c}{(P_X)+a.(P_Y)^b} \quad\to\quad K_P = \frac{([Z].R.T)^c}{([X].R.T)^a.([Y].R.T)^b} \]

\[K_P = \frac{[Z]^c}{[X]^a.[Y]^b}.\frac{(R.T)^c}{(R.T)^a.(R.T)^b} \]

\[K_p=K_c.(R.T)^{\Delta n} \]

A.K.A: Köpek Kaçırtan

Questions

SST88Q9M.webp


SST88QC6.webp


SST88T6Y.webp


SST88TB2.webp

  • Cevap 134,4 olacak.

SST88TM2.webp