Köklü Sayılar-1

\(n > 1\) ve n bir tam sayı olmak üzere, \(x^n=a\) eşitliğini sağlayan x sayısına a'nın n. kuvvetten kökü denir.

\[\sqrt[n]{a} \]

Yukarıdaki ifadede n kökün derecesi olarak adlandırılır.


Bir Gerçek Sayıyı Kök Dışına Çıkarma

n bir pozitif tam sayı olmak üzere,

Köklü Sayıların Üslü Sayılara Çevrilmesi

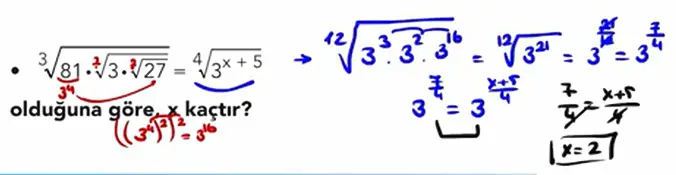
Her köklü sayı bir üslü sayıdır. n pozitif bir tam sayı olmak üzere,


x bir doğal sayı olmak üzere,

  • \(\sqrt{x^2}=x\)
  • \(\sqrt{x^2.y}=x\sqrt{y}\)

Köklü ifadenin değerinin tam sayılarla karşılaştırması yapılırken,

Eşitsizliğini sağlayan a ve b ardışık sayıları bulunur.

Örneğin;

Köklü Sayılarda Toplama-Çıkarma İşlemi

\[a.\sqrt[n]{x}+b.\sqrt[n]{x}-c.\sqrt[n]{x}=(a+b-c).\sqrt[n]{x} \]

Köklü Sayılarda Çarpma-Bölme İşlemi

\[\sqrt[n]{x}.\sqrt[n]{y}=\sqrt[n]{x.y} \]

\(y\) sıfırdan farklı bir sayı olmak üzere,

\[\frac{\sqrt[n]{x}}{\sqrt[n]{y}}=\sqrt[n]{\frac{x}{y}} \]

Kök Derecesinin Genişletilmesi veya Sadeleştirilmesi

\(x\in R^+\), \(m\in Z\); \(n,k\in Z^+\) ve \(n\ge 2\) olmak üzere;

\[\sqrt[n]{x^m} = \sqrt[n.k]{x^{m.k}} = \sqrt[n/k]{x^{m/k}} = x^{m/n} \]

İç İçe Kökler

m ve n, 1'den büyük tam sayılar olmak üzere,

\[\sqrt[m]{\sqrt[n]{a}}=(a^{1/n})^{1/m}=a^{1/m.n}=\sqrt[m.n]{a} \]


Eşlenik

Köklü bir ifadeyi kökten kurtarmak için köklü ifade eşleniği ile çarpılabilir.


\(\sqrt{a}\)'nın eşleniği \(\sqrt{a}\) dır.

\(\sqrt{a}+\sqrt{b}\)'nin eşleniği \(\sqrt{a}-\sqrt{b}\) dir.

\(a+\sqrt{b}\)'nin eşleniği \(a-\sqrt{b}\) dir.


\(x > y\) ve \(a=x+y\), \(b=x.y\) olmak üzere,

\[\sqrt{a\pm 2\sqrt{b}}=\sqrt{(x+y)\pm 2.\sqrt{x.y}}=\sqrt{x}\pm\sqrt{y} \]

Questions

SST4OIMO.webp


SST4OIUJ.webp


SST4OIZ8.webp


SST4OJ5G.webp


SST4OJ7C.webp


SST4OJEB.webp


SST4OJNQ.webp


SST4OK3V.webp


SST4OMBY.webp


SST4OMJ7.webp


SST4ON8X.webp


SST4ONEP.webp


SST4ONXJ.webp


SST4OPJU.webp


SST4OQ8X.webp


SST4OQNL.webp

  • Kök 10'un kök 2 ve kök 5'e ayrılabildiğine dikkat et. Ardından parantez içine alınabilirler.

SST4OQSA.webp


SST4OR1B.webp


SST4ORH2.webp


SST4ORT8.webp