Yağlar (Lipitler)
Canlıların temel besinlerinden biri olan yağlar karbon (C), hidrojen (H) ve oksijen (O) atomlarının birleşmesi ile oluşurlar.
- Bazı yağlarda fosfor (P) ve azot (N) gibi atomlar da bulunabilir.
- Yağlardaki hidrojenin oksijene oranı karbonhidrat ve proteinlere göre daha yüksektir.
- Yağlar; karbonhidrat ve proteinlere göre daha fazla hidrojen atomu içerirler. Bu yüzden solunumla parçalandıklarında daha fazla enerji açığa çıkar.
- Diğer organik moleküllerden farklı olarak yağların ortak bir yapıtaşı yoktur.
- Bu moleküllerin en önemli ortak özelliği suda çözünmemeleri ya da çok az çözünmeleridir.
- Yalnızca kloroform, benzen, eter ve aseton gibi organik çözücülerde çözünürler.
Biyolojik açıdan önemli olan yağlar; yağ asitleri, trigliseritler, fosfolipitler ve steroitlerdir.
Yağ Asitleri
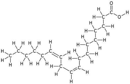
Yağ asitleri uzunlukları ve karbon atomları arasındaki bağların tek ya da çift olmasına göre doymuş ve doymamış yağ asitleri olmak üzere ikiye ayrılırlar.
Doymuş Yağ Asitleri
Karbon atomları arasında tek bağ bulunan yağ asitlerine doymuş yağ asidi denir.
- Bu moleküllerdeki karbon atomları tamamen hidrojene doymuştur.
- Moleküle, iskeleti bozulmadan hidrojen atomu eklenemez.
- Doymuş yağ asitleri çift bağ içermediğinden düz zincirler halindedir.
- Palmitik asit ve stearik asit doymuş yağ asitlerine örnek olarak verilebilir.

Doymamış Yağ Asitleri
Bazı karbon atomları arasında çift bağ bulunan yağ asitlerine doymamış yağ asidi denir.
- Bu moleküllerin karbon atomları hidrojene doymamıştır.
- Doymamış yağ asitleri çift bağ içerdiğinden düz zincir yerine dallanmış bir yapı gösterir.
- Bazılarının yapısında bir çift bağ bulunurken (oleik asit), bazılarının yapısında iki çift bağ bulunur (linoleik asit).

- İnsan vücudunda sentezlenmeyip, besinlerle beraber alınması zorunlu olan yağ asitlerine temel (esansiyel) yağ asitleri denir.
- Omega 3 ve Omega 6 temel yağ asitleridir.
Trigliseritler (Nötr Yağlar)
Canlılarda en fazla bulunan yağ çeşididir.
- Üç molekül yağ asidinin, bir molekül gliserole (gliserin) ester bağları ile bağlanması sonucu oluşur.
- Bu reaksiyon sırasında 3 molekül su açığa çıkar. (Bağ sayısı kadar) (Dehidrasyon sentezi)
Trigliseritler polimer olarak adlandırılmazlar. Çünkü polimerler, birbirine bağlı çok sayıda özdeş ya da benzer monomerden meydana gelmiş uzun moleküllerdir.
- \(\text{1 Gliserol + 3 Yağ Asidi} \to \text{1 Yağ} + 3H_2O\)

- Nötral yağlar içerdikleri yağ asidi çeşidine göre doymuş ve doymamış yağlar olmak üzere ikiye ayrılır.
Doymuş Yağlar
- Doymuş yağ asidi içeren yağlara doymuş yağlar denir.
- Bu yağlar hayvansal kaynaklı olup oda sıcaklığında katıdır.
- Tereyağı, kuyruk yağı ve iç yağı doymuş yağlardır.
Doymamış Yağlar
- Doymamış yağ asidi içeren yağlara doymamış yağlar denir.
- Bu yağlar bitkisel kaynaklı olup oda sıcaklığında sıvı halde bulunurlar.
- Ayçiçek yağı, mısır yağı, soya yağı ve zeytin yağı doymamış yağlardır.
Bitkisel yağların karbon atomları arasındaki çift bağdan birinin koparılıp yerine hidrojen bağlanmasıyla margariner elde edilir. Margarinler (trans yağlar) halk arasında kötü olarak bilinen kolesterol (LDL) seviyesini artırır ve iyi olarak bilinen kolesterol (HDL) seviyesini azaltırlar. Bu nedenle koroner kalp damar hastalıkların riskini artırırlar.
Fosfolipitler
Hücre zarının temel bileşenleridir. Proteinlerle beraber hücre zarını oluştururlar.

- Trigliseritlerden farklı olarak 1 gliserol molekülüne 2 yağ asidi bağlanmıştır.
- Gliserole bağlanan üçüncü grup ise negatif yüke sahip bir fosfat (\(PO_4^-\)) ve azot içeren bazdan oluşur.
- Bir fosfolipit molekülü suyu seven (hidrofilik) bir baş ile suyu sevmeyen (hidrofobik) iki kuyruktan oluşur.
- Bu yüzden suya bırakılan fosfolipitler kendiliğinden bir araya gelerek farklı yapılar oluşturabilirler.
- Miseller ve hücre zarındaki çift tabakalı fosfolipitler bu duruma örnek olarak verilebilir.
Steroitler
- Steroitlerin yapısında 4 karbon halkası ve onlara bağlı halde çeşitli işlevsel yan gruplar bulunur.
- Hücre zarının yapısına katılarak, hücre zarının geçirgenliğini ve dayanıklılığını artırır. Sinir hücrelerinin zarında yalıtımı sağlar.
- Bazı hormonların yapısına katılır. Dişi eşey hormonu olan östrojen ile erkek eşey hormonu testesteron steroit yapılıdır.
- Böbrek üstü bezinin korteks hormonları (kortizol ve aldosteron) da steroit yapılıdır.
- Vücut tarafından D vitamini yapımında kullanılır.
Steroitler hormon ve vitaminlerin yapısına katıldığı için düzenleyici role sahiptirler.
- Kolesterol hayvan hücrelerinin zar yapısına katılan bir steroit olup, bitkisel hücrelerde bulunmaz.
Kolesterol insanlar tarafından diyetle alınır ya da karaciğerde sentezlenir.

Yağların Canlılar İçin Önemi
- Enerji değeri çok yüksek olan moleküllerdir. İçerdikleri enerji miktarı protein ve karbonhidratların verdiği enerji miktarının iki katıdır.
- Enerji Sırası: Yağ > Protein > Karbonhidrat
- Öncelik Sırası: Karbonhidrat > Yağ > Protein
- Hücrelerde oksijenli solunumla parçalandıklarında bol miktarda enerji ile beraber metabolik su açığa çıkar. Bu yüzden kış uykusuna yatan hayvanlar, göçmen kuşlar ve çöl hayvanları yağ depolar.
- Hücrenin yapısına katılırlar. Hücre zarında glikolipit ve fosfolipit gibi yağlar bulunur.
- Steroitler hormon ve vitaminlerin yapısına katılarak düzenleyici görev görür.
- Soğuk bölgelerde yaşayan hayvanlarda deri altında birikerek ısı kaybını engeller.
- İç organların etrafında biriken yağlar, organları mekanik darbelere karşı korur.