AYT-MAT 28. Diziler-3: Geometrik Diziler

Geometrik Dizi

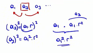
Ardışık terimleri arasındaki oranı sabit olan dizilere geometrik dizi denir

\(r\in R-\{0\}\) olmak üzere

\[\frac{a_2}{a_1}=\frac{a_3}{a_2}=...=\frac{a_n}{a_{n-1}}=r \]

ise, \((a_n)\) dizisi bir geometrik dizidir. r gerçek sayısı, bu dizinin ortak çarpanıdır.

İspat

İlk terimi \(a_1\) ve ortak çarpanı r olan bir \((a_n)\) geometrik dizisinin genel terimi;

SS1USozU.png


\(a_n=a_p.r^{n-p}\)

ISPAT:

  1. \(a_4=a_1.r^3\)
  2. \(a_7=a_1.r^6=a_1.r^3.r^4\)
  3. \(a_7=a_4.r^4\)

SS1USoK3.png


SS1USoNe.png


SS1USoR7.png


SS1USoU9.png



SS1USpv0.png


SS1USroT.png


Sonlu bir geometrik dizide, baştan ve sondan eşit uzaklıkta bulunan terimlerin çarpımı birbirine eşittir.

  • \(a_1.a_n=a_2.a_{n-1}=...=a_k.a_{n-k+1}\)
  • Bu ikili terimlerin indisleri toplamı da birbirlerine eşittir.

SS1USsnp.png


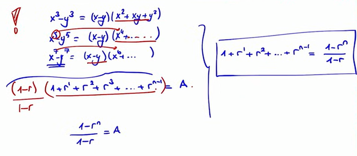
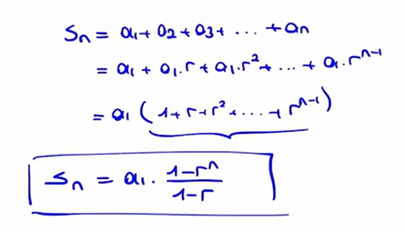
İlk terimi \(a_1\) ve ortak çarpanı r olan \((a_n)\) geometrik dizisinin ilk n teriminin toplamı \(S_n\)

\[S_n=a_1.\frac{1-r^n}{1-r} \]

ile bulunur.

SS1USsqF.png
SS1USsry.png


SS1USssj.png


SS1USswz.png


SS1USCNU.png


SS1USDr3.png


SS1USDsM.png


SS1USDMi.png


SS1USDOV.png