AYT-MAT 10-2. Fonksiyonlarda Dönüşümler
Öteleme
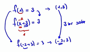
f(x+a) ve f(x-a) dönüşümü
\(y=f(x)\) bir fonksiyon, a pozitif bir gerçek sayı olmak üzere
- \(f(x+a)\rightarrow f(x)\) fonksiyonu, x ekseninde a birim sola,
- \(f(x-a)\rightarrow f(x)\) fonksiyonu, x ekseninde a birim sağa ötelenir.

\(x\) yerine \(x\pm a\) yazılır. Yani, \(f(3x)\)'in 2 birim sağa ötelenmiş hali: \(f(3(x-2))\) dir.
x ekseninde öteleme problemlerinde eğim değişmez. grafikteki doğrusal çizginin oluşturduğu üçgenin y eksenindeki kenarının x eksenindeki kenara olan oranı korunur.
Grafikteki noktalardan her birini, y değerini değiştirmeden x ekseninde sağa ya da sola ötele.

f(x)+b ve f(x)-b dönüşümü
\(y=f(x)\) bir fonksiyon, b pozitif bir gerçek sayı olmak üzere
- \(f(x)+b\rightarrow f(x)\) fonksiyonu, y ekseninde b birim yukarı,
- \(f(x)-b\rightarrow f(x)\) fonksiyonu, y ekseninde b birim aşağı ötelenir.

- Çift fonksiyon: \(f(-x)=f(x)\)
- Tek Fonksiyon: \(f(-x)=-f(x)\)
Çift fonksiyonlarda, fonksiyonun tüm dereceleri çift sayı, tek fonksiyonlarda ise fonksiyonun tüm dereceleri tek sayıdır.
Grafikteki noktalardan her birini, x değerini değiştirmeden y ekseninde yukarı ya da aşağı ötele.
Simetri
-f(x) Dönüşümü
\(y=-f(x)\) fonksiyonunun grafiği f(x) fonksiyonunun grafiğinin x eksenine göre simetriğidir.
- Analitik düzlemde (a,b) noktasının x eksenine göre simetriği (a,-b) dir. a değeri değişmez!
Değişmeyen eksen simetri eksenidir.

f(-x) Dönüşümü
\(y=f(-x)\) fonksiyonunun grafiği f(x) fonksiyonunun grafiğinin y eksenine göre simetriğidir.
- Analitik düzlemde (a,b) noktasının y eksenine göre simetriği (-a,b) dir. b değeri değişmez!

Doğrusal bir \(y=mx+n\) fonksiyonunun denkleminde, m fonksiyonun eğimi, n ise y ekseninde fonksiyonun ötelenme miktarıdır.
|f(x)| Dönüşümü
\(y=|f(x)|\) fonksiyonunun grafiği, f fonksiyonunun grafiğinin x ekseninin altında kalan kısmının x eksenine göre simetriğinin alınmasıyla elde edilir.

f(x)=0 denkleminin kökleri, grafikte x in değerinin 0 olduğu (x ekseninin üstü) yerlerdir.
Daralma ve Genişleme Dönüşümleri
k pozitif bir gerçel sayı olmak üzere
y=k.f(x) dönüşümü
\(y=k.f(x)\) dönüşümünde grafik üzerindeki tüm noktaların x koordinatları sabit kalırken y koordinatları \(1/k\) katına ötelenir.
\(\frac{y}{k}=f(x)\) olur.
y=f(k.x) dönüşümü
\(y=f(k.x)\) dönüşümünde grafik üzerindeki tüm noktaların y koordinatları sabit kalırken x koordinatları \(1/k\) katına ötelenir.

x'i sıfır ile bir arasında bir sayı ile çarparsan fonksiyon genişler, 1 den büyük sayılarla çarparsan daralır.